东莞科品检测仪器有限公司
服务热线  0769-88034181设为首页-收藏本站-繁体中文     语言:中文 English
  • 网站首页
  • 公司简介
  • 新闻资讯
  • 仪器中心
  • 下载中心
  • 成功案例
  • 合作伙伴
  • 售后服务
  • 联系我们
热门搜索词:漏电起痕试验仪、灼热丝试验仪、电线电缆检测设备、ISO 1182测试、电压击穿试验仪

新闻资讯

公司动态
业界资讯
视频中心

热门仪器

  • KP8023成束电线电缆燃烧试验机东莞市科品检测仪器有限公司
  • KP8010A矿用输送带酒精喷灯燃烧试验机(阻燃性能测定仪)东莞市科品检测仪器有限公司
  • KP8002A建筑材料不燃性试验机东莞市科品检测仪器有限公司
  • KP8020高压漏电起痕试验机东莞市科品检测仪器有限公司
  • KP8010塑料以及塑料部件垂直\水平燃烧试验机东莞市科品检测仪器有限公司
  • KP8009固体绝缘材料电气介电强度试验机东莞市科品检测仪器有限公司
  • KP8026B单根电线电缆垂直燃烧试验机(通风橱)东莞市科品检测仪器有限公司
  • KP8115建材单体制品燃烧试验机东莞市科品检测仪器有限公司
  • KP8029 漏电起痕试验机东莞市科品检测仪器有限公司
  • KP8040钢结构防火涂料小样试验炉东莞市科品检测仪器有限公司

当前位置:网站首页 > 新闻资讯 > 业界资讯
业界资讯

塑料烟密度试验机应对2008年新标准及试验方式浅谈!

塑料烟密度试验机应对2008年新标准及试验方式浅谈!

烟是火灾中致人死命的首要危险因素之一,同时也是严重延误火灾时抢救生命财产的重要因素。随着阻燃材料的发展和应用,国内外阻燃性能的检测方法和标准众多,用于评价材料燃烧发烟特性的烟密度法是最常用的试验方法之一,试验设备为:KP8008塑料烟密度试验机。


        燃烧是一种复杂的并相互影响的物理化学现象,燃烧产物组成取决于材料性质、燃烧温度和燃烧时的通风条件等,塑料材料在火灾中的生烟性也与一系列因素有关,如火灾规模、火灾传播速度、通风情况、单位质量塑料的生烟量、燃烧温度等。由于利用试验仪器完全模拟真实的燃烧情况是不可能的,因此确定燃烧模式是所有燃烧试验中最复杂的一个技术问题。 


  GB/T 8323-2008《塑料 烟生成》(替代原GB/T 8323-1987,等同ISO 5692: 2006)用于测定塑料材料燃烧时所产生的烟雾光密度,并以最大比光密度为试验结果,用于评判规定条件下塑料的发烟性能,样品的发烟量根据试验模式和试样所暴露的辐照强度而发生变化,该标准规定的4个模式分别为


1:辐射照度为25kW/m2,无引燃火焰;
2:辐射照度为25kW/m2,有引燃火焰;
3:辐射照度为50kW/m2,无引燃火焰;
4:辐射照度为50kW/m2,有引燃火焰。


  与87版的标准相比,最明显的不同点是增加辐照强度为50kW/m2的模式,要求箱体内辐射锥的强度可调,同时要求测试箱壁的温度具有稳定性,另外在进行无焰燃烧时不需要将燃烧器拆除。
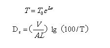
通过透光量的最小百分数计算最大比光密度,

 

东莞市科品检测仪器有限公司

 

式中:T—透光率;T0—初始透过率;σ—衰减系数;e—自然对数的底;V—燃烧室的体积(m3);A—试样的暴露面积(m2);L—光路的长度(m);Ds—比光密度。


  信息产业部信息传输线质量监督检验中心(23所检验中心)为了能够更好的为本行业服务和促进行业技术发展,从东莞市科品机械设备有限公司新近购置了符合2008版标准的塑料烟密度试验装置(KP8008塑料烟密度测定仪),能够完全满足新标准对试验装置的要求。

 

点击次数:  更新时间:2013-11-02 09:31:06  【打印此页】  【关闭】
上一条:EN ISO 1182:2002建筑材料不燃性试验与BS 476:part 4:1970的主要区别   下一条:浅谈如何测定塑料热变形温度和掌握塑料热变形温度测定仪的使用方法
快捷导航关于科品服务支持
仪器中心公司简介售后服务
其它仪器联系我们合作伙伴
说明书下载新闻资讯经销加盟
标准下载视频中心网站地图
在线留言会员中心招贤纳士
站内搜索
+(0086)-0769-88034181

东莞市科品机械有限公司 版权所有 粤ICP备13041266号-1

地址:东莞市长安镇新安社区横增路松柏工业区102号 邮编:523850
技术支持:13729993710 王先生 邮箱:server@kepin17.com

东莞市科品机械有限公司为您提供专业的不燃性试验机、测试仪器、阻燃检测仪器、电缆试验机、高分子材料测试仪,科品仪器提供设备均带CNAS证书-不燃性试验机权威生产厂家
科品仪器-建筑材料燃烧试验机-电压击穿试验仪-漏电起痕试验仪-材料阻燃检测试验炉
华南区最大、最具权威性的的保温材料试验机厂家-专注保温材料防火等级分级测试仪器!